LE 20 F DEBUSSY

Appellations Banque de France :

  • 20 francs BDF type 1980 "Debussy" - BDF 198001
  • Type 1980 adapté 1980 (BDF 198002) : papier spécial pour les pays tropicaux
  • Type 1980 adapté 1986 (BDF 198601) : modification du calcul du n° de contrôle dû au changement de rang du W (à partir de l'alphabet 16)
  • Type 1980 modifié 1990 (BDF 199001) : papier plus épais avec fil de sécurité... etc... (à partir de l'alphabet 27)
  • Type 1980 modifié 1990 adapté 1995 (BDF 199501) : nouveau code pénal (à partir de l'alphabet 47)

 

 

Plus petit numéro connu :  A.001 000 024

Dernier numéro retrouvé:  K.064 991 159

 

Indice de fréquence : 73,6 / 100

(2ème position entre le 100F Delacroix et le 500F Pascal))

 

Mise à jour le 10/09/2015  -  12 000 billets repertoriés.

Mise à jour le 26/08/2016  -  15 100 billets  

Mise à jour le 26/06/2017  -  19 190 billets  

Mise à jour le 28/07/2018  -  23 489 billets  

Mise à jour le 13/08 2019  -   27 883 billets

Mise à jour le 09/11 2020 -   34 695 billets

Mise à jour le 05/11/2021 -   39 097 billets

Mise à jour le 22/11/2022 -   42 119 billets

Mise à jour le 27/06/2024 - 48 013 billets

Mise à jour le 25/02/2026 - 53 950 billets

LES REFERENCES

LES SIGNATURES

 Changements de signatures

Nombre de billets en petits numéros, lors des changements de signatures.

 

LES ALPHABETS

LES LETTRES

Nombre de billets par lettre :

 

L'ALPHABET 001

Nombre de billets pour chaque lettre de l'alphabet 001

LA LETTRE A

Nombre de billets en lettre A pour chaque alphabet :

LA LETTRE W

La lettre W est une "lettre de remplacement" des billets fautés pour les alphabets 1 à 15 et se situe en fin d'alphabet. Ensuite, elle se place en position normale dans l'alphabet.

PLUS PETIT NUMERO POUR CHAQUE ALPHABET

Anomalies constatées pour les alphabets 26, 31, 46, 49 et 64

 

PLUS GRAND NUMERO POUR CHAQUE ALPHABET

Aucune anomalie constatée.

Fréquence relative des 64 alphabets

En bleu, les chiffres de 2017

En orange, les chiffres de 2019

INVENTAIRE

 

 LES PETITS NUMEROS

 

A1 inférieurs à 1000

 

LETTRE W

Pour les alphabet 001 à 015, la lettre W est une "lettre de remplacement pour les billets fautés". 

Ensuite, elle prend sa place normale dans l'alphabet.

 

 

 

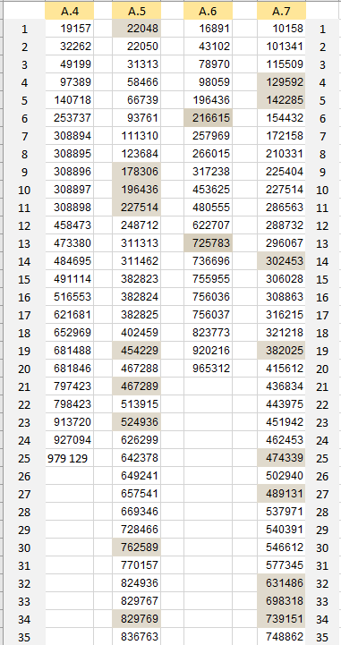
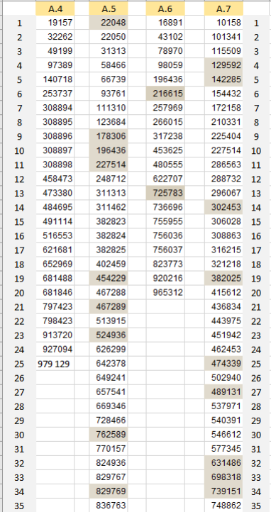
LETTRE A

Les A.4, A.5, A.6 et A.7

 

INVENTAIRE CF/KAJ

ALPHABET 031

134 billets 

Aucun billet inférieur à 698 000 (moins de 10% de cet alphabet émis)

 

ALPHABET 064

568 billets

aucun numéro inférieur à 848 000 (environ 15% de cet alphabet émis)

 

LETTRES NON RETROUVEES

 On peut s'interroger sur les groupes XYZ en VERT.

Ils correspondent à des alphabets clôturant une année ou à une modification du billet

  • 034 : dernier alphabet de 1991
  • 037 : dernier alphabet de 1992
  • 040 : dernier alphabet avant changement de signatures 1993
  • 046 : dernier alphabet de 1993 et passage au type "modifié"
  • 049 : dernier alphabet de 1995

 

Les lettres en JAUNE correspondent aux alphabets qu'on savait incomplets (26,31 et 64) et qui sont également les derniers alphabets des années 1989, 1990 et 1997

 

 

 

LES CHIFFRES POUR CHAQUE LETTRE DE CHAQUE ALPHABET

 

chiffres de 2024

Série avec le même numéro radar (MDC 2024)