50F Luc OLIVIER-MERSON 

Appellations Banque de France :

  • 50F BDF type 1927 "A quatre couleurs - Luc-Olivier Merson" BDF 191001
  •  type 1927 "A quatre couleurs" Luc-Olivier Merson adapté 1930 BDF 193003: ajout d'une 2ème lettre dans la date de création (alphabet 5845)
  • type 1927 "A quatre couleurs "Luc-Olivier Merson modifié 1930 BDF 193006 : suppression du nom de l'artiste (alphabet 6101)

                                                                                                    Collection KAJACQUES

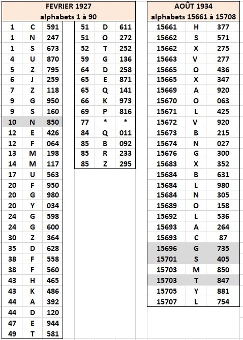
Plus petit numéro connu : C.1 n° 591 (Collection J.R.)

Plus grand numéro connu : L.15707.n° 754 (Collection N.D.)

 

Indice de fréquence : 6 / 100  -  41ème position

(à égalité avec le 50F Bleu et rose)

Mise en ligne le 17 juin 2016 : 1013 billets

Mise à jour le 10 mai 2017 : 1442 billets

Mise à jour le 13 juillet 2018 : 1847 billets

Mise à jour le 8 août 2019 : 2204 billets

Mise à jour le 28 septembre 2020 : 2587 billets

Mise à jour le 23 août 2021 : 2830 billets

Mise à jour le 11 septembre 2022 : 3274 billets

Mise à jour le 24 janvier 2024 : 3781 billets

Mise à jour le 10 janvier 2024 : 4396 billets

STATISTIQUES

Les références

24 juillet 1930 alphabet 6100 avec signature Luc OLIVIER-MERSON

24 juillet 1930 alphabet 6101 sans signature

Les signatures

Les lettres

Pourcentage des alphabets retrouvés

Le plus grand écart entre deux alphabets retrouvés est de 55 entre les alphabets 8246 et 8301

Ce que pourrait être la collection du 50F MERSON si on avait suivi un schéma mensuel comme pour les 5F noir et 5F bleu

CORRECTIF au livre de C.Fayette

"Répertoire des dates de Création" édition 1990

Le tableau est entièrement fauté en ce qui concerne le moIs de juillet 1927.

Voici la version corrigée, d'après mes archives photos :

Evolution des cotes entre 1987 et 2020

 

En haut du tableau, les années en rouge correspondent aux ouvrages généraux de C.F.

les années en noir correspondent aux éditions de "La €ote"

 

Cotation retenue : qualité TTB

Cotes recalculées avec un correcteur d'inflation.

 

!NVENTAIRE

Le premier mois et le dernier

 

 

Tout se vend....