5 F FEMME CASQUEE

 

(ancienne appellation "5F VIOLET)

 

Références BANQUE DE FRANCE :

  • 5F BDF type 1917 Femme casquée BDF 191702
  • type 1917 adapté 1920 BDF 192001 (ajout d'un 9ème chifre au n° de contrôle) alphabet 4001
  • type 1917 adapté 1930A BDF 193001 (ajout d'un 10ème chiffre au n° de contrôle en 1929) alphabet 40001
  • type 1917 adapté 1930B BDF 193002 (ajout d'une 2ème lettre dans la date de création)  alphabet 40913
  • type 1917 modifié 1939 BDF 193903 (remise en circulation de ce billet qui avait perdu son cours légal en décembre 1933. L'appellation "Le caissier général" remplace "Le caissier principal" alphabet 57953

 

 

 

Plus petit numéro répertorié : A.1 009

Plus grand numéro retrouvé : U.68098 955

 

Indice de fréquence : 31/100 (18ème rang, à égalité avec le 10F Minerve)

STATISTIQUES

 

Mise en ligne le 26 avril 2016 - 4147 billets

Mise à jour le 12 mai 2017 - 6595 billets

Mise à jour le 25 juillet 2018 - 9084 billets

Mise à jour le 03 août 2019 - 10948 billets (7323 alphabets retrouvés)

Mise à jour le 5 octobre 2020 - 13016 billets (8418 alphabets retrouvés)

Mise à jour le 25 octobre 2021 - 15267 billets (9561 alphabets retrouvés)

Mise à jour le 24 octobre 2022 - 16912 billets (10341 alphabets retrouvés)

Mise à jour le 10 janvier 2024 - 18771 billets  (11163 alphabets retrouvés)

Mise à jour le 26 décembre 2025 - 22510 billets (12662 alphabets retrouvés)

Les dates

 

  • TYPE 1917

 

 

  • TYPE 1917 modifié

Les alphabets retrouvés

Les années

Les signatures

Les lettres

V.55493 : une suite de 403 billets

Evolution des cotes entre 1987 et 2020

 

En haut du tableau, les années en rouge correspondent aux ouvrages généraux de C.F.

Les années en noir correspondent aux éditions de "La €ote"

 

En vert, le total (un billet de chaque référence F.3 et F.4)

 

Cotation retenue : qualité SUP

Cotes recalculées avec un correcteur d'inflation.

 

 

 

 

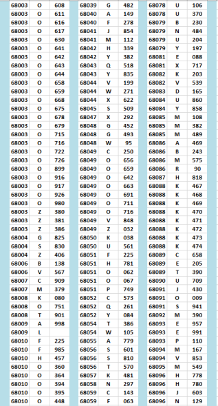
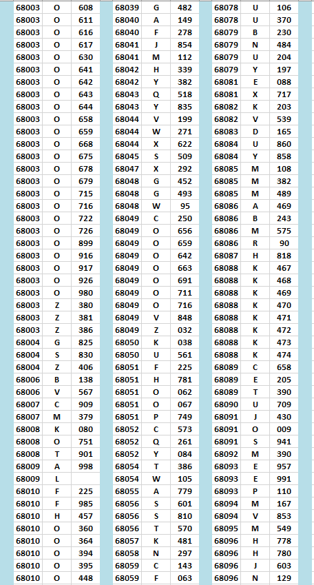
INVENTAIRE